Arnaud Hirtz
Analyse DEUG 2
Université de Haute Alsace


Intégrales impropres et généralisées

Exercice 1   Déterminer la nature de $I=\displaystyle {\displaystyle\int\nolimits_{0}^{+\infty}}
\frac{\sin x}{x}dx$ .
Exercice 2   Déterminer la nature de l'intégrale $I(r)=\displaystyle {\displaystyle\int\nolimits_{0}^{+\infty}}
\frac{\arctan x}{x^{r}}dx$  selon la valeur du réel r .
Exercice 3   Soit $I=\displaystyle {\displaystyle\int\nolimits_{0}^{1}}
\frac{\ln x}{\sqrt{1-x}}dx.$ 
  1. Déterminer la nature de I .
  2. Calculer I  en utilisant le changement de variable $\sqrt{1-x}=t$ .
Exercice 4   Déterminer la nature de $I=\displaystyle {\displaystyle\int\nolimits_{1}^{+\infty}}
\frac{\ln x}{x+e^{-x}}dx$ .
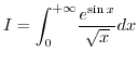
Exercice 5   Déterminer la nature de $I=\displaystyle {\displaystyle\int\nolimits_{0}^{+\infty}}
\frac{e^{\sin x}}{\sqrt{x}}dx$ .
Exercice 6  
  1. Déterminer la nature de $I=\displaystyle {\displaystyle\int\nolimits_{1}^{+\infty}}
\frac{\sin x}{x^{3/2}}dx$ .
    1. En intégrant par parties, montrer que $J=\displaystyle {\displaystyle\int\nolimits_{1}^{+\infty}}
\frac{\cos x}{\sqrt{x}}dx$  converge.
    2. En déduire la nature de $K=\displaystyle {\displaystyle\int\nolimits_{1}^{+\infty}}
\frac{\cos^{2}x}{\sqrt{x}}dx$ .

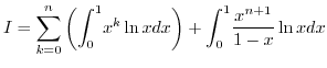
Exercice 7   Soit $I=\displaystyle {\displaystyle\int\nolimits_{0}^{1}}
\frac{\ln x}{1-x}dx$ .
  1. Déterminer la nature de I .
  2. Montrer que $I=%
{\displaystyle\sum\limits_{k=0}^{n}}
\left(
{\displaystyle\int\nolimits_{0}...
... +\displaystyle {\displaystyle\int\nolimits_{0}^{1}}
\frac{x^{n+1}}{1-x}\ln xdx$.
  3. Montrer que $\underset{n\rightarrow+\infty}{\lim}\displaystyle {\displaystyle\int\nolimits_{0}^{1}}
\frac{x^{n+1}}{1-x}\ln xdx=0$.
  4. Calculer I .

Retour à la liste des fiches