Arnaud Hirtz
Analyse DEUG 2
Université de Haute Alsace
Exercices sur les séries entières 2
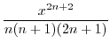
Exercice 1
Soit
f (x) = 
avec
x
.
- Déterminer le rayon de convergence R de la série
entière. La série est-elle convergente en
R ?
- Exprimer f à l'aide des fonctions usuelles.
Exercice 2
Déterminer le rayon de convergence et la somme de
g(
x) =

xn.
Exercice 3
Déterminer une série entière solution de
Exercice 4
Déterminer une série entière solution de
Retour à la liste des fiches