Arnaud Hirtz
Analyse DEUG 2
Université de Haute Alsace
Exercices sur les séries entières
Exercice 1
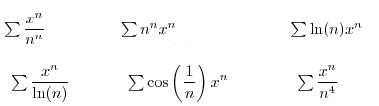
Déterminer le rayon de convergence des séries entières suivantes
:
C2nnx2n
fnxn où fn est la
n
ième décimales de e .
Exercice 2
Donner le développement en séries entières des fonctions suivantes
et indiquer les rayons de convergence.
Exercice 3
Calculer le rayon de convergence R et la somme de la série entière
n2xn . Etudier la convergence de la série en x =
R . (Indication : pour calculer la somme on pourra utiliser que
n2 = n(n - 1) + n ).
Exercice 4
Calculer le rayon de convergence R et la somme de la série entière

. Etudier la convergence de la série en x =
R.
Exercice 5
Soit
S(x) = 
xn .
- Déterminer le rayon de convergence R de la série entière.
- Montrer que pour x
0 on a
S(x) = 



+ x

.
- Déterminer S(x).
- La série converge-t-elle en
R .
Exercice 6
Déterminer le développement en série entière de
f (x) = ln(x2 + 2x + 4) . (On pourra utiliser le changement de variable x = 2t ).
Retour à la liste des fiches