Arnaud Hirtz
Analyse DEUG 2
Université de Haute Alsace


Exercices sur la convergence de séries numériques 3


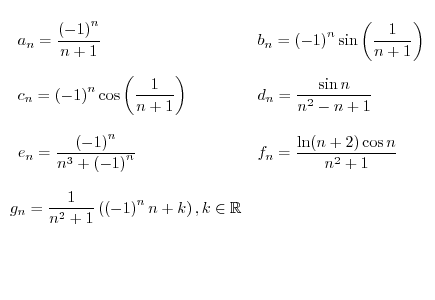
Exercice 1
  Déterminer la convergence des séries de terme général :


 $ \begin{array}[t]{ll}%

Exercice 2   Séries de Bertrand

On s'intéresse ici à la convergence des séries dont le terme général est de la forme  un = $\displaystyle {\frac{{1}}{{n^{\alpha}%
\ln^{\beta}n}}}$  avec $ \alpha$ > 0 .

  1. Montrer que si  0 < $ \alpha$ < 1  la série diverge.

  2. Montrer que si $ \alpha$ > 1  la série converge.

  3. Pour la suite on suppose $ \alpha$ = 1 .
    1. Etudier la fonction  $ \begin{array}[t]{rl}%
f:\mathbb{R}_{+}^{\ast} & \rightarrow\mathbb{R}\\
x & \mapsto\displaystyle\frac{1}{x\ln^{\beta}x}%
\end{array}$ .
    2. En déduire qu'il existe un entier M  tel que pour tout N  supérieur à M  on a 

      $%
%TCIMACRO{\dsum \limits_{n=M+1}^{N}}%
{\displaystyle\sum\limits_{n=M+1}^{N}}
...
...q {\displaystyle\sum\limits_{n=M}^{N-1}}
\displaystyle\frac{1}{n\ln^{\beta}n}M.$

    3. En déduire la nature de la série (on pourra distinguer les cas $ \beta$ < 1 , $ \beta$ = 1  et $ \beta$ > 1 ). 

Retour à la liste des fiches