Arnaud Hirtz
Analyse DEUG 2
Université de Haute Alsace


Exercices sur la convergence de séries numériques 2

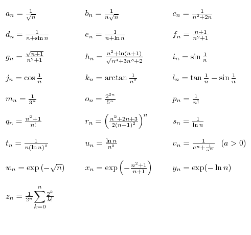
Exercice 1   Déterminer la convergence des séries de terme général :
$\displaystyle \begin{array}[t]{lll}%
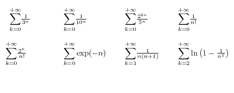
Exercice 2   Calculer les sommes des séries suivantes :
$\displaystyle \begin{array}[t]{llll}%
\begin{array}[t]{l}%
{\displaystyle\sum\l...
...tyle\sum\limits_{k=2}^{+\infty}}
\ln\left( 1-\frac{1}{n^{2}}\right)
\end{array}$

Retour à la liste des fiches