Arnaud Hirtz
Analyse DEUG 2
Université de Haute Alsace


Fonctions définies par une intégrale, fonctions de plusieurs variables

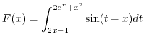
Exercice 1   Soit $F(x)=\displaystyle {\displaystyle\int\nolimits_{2x+1}^{2e^{x}+x^{2}}}
\sin(t+x)dt$.
  1. La fonction est-elle continue ?
  2. La fonction est-elle dérivable ? Si oui, donner sa dérivée.

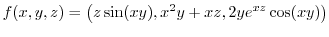
Exercice 2   Déterminer la matrice jacobienne des fonctions suivantes :
  1. $f(x,y,z)=\displaystyle\left( z\sin(xy),x^{2}y+xz,2ye^{xz}%
\cos(xy)\right) $
  2. $f(x,y,z)=\displaystyle\left( x^{2}y^{3}z,y\ln(1+x^{2}z^{4}),z^{2}%
\exp\frac{1}{x^{2}y^{2}z^{2}+1}\right) $
Exercice 3   Soit $f(x,y,z)=\sin(xyz)+x^{2}y+z^{3}$. Calculer le gradiant et le laplacien de f.

Exercice 4   Soit $\varphi(x,y,z)=\left( 2xyz^{2},z\sin(x+y),z^{3}\exp(x^{2})\right)
$. Calculer la divergence et le rotationnel de $ \varphi$.

Exercice 5   Soit $\varphi(x,y,z)=\left( 3x^{2}y^{2}z^{4},2x^{3}yz^{4},4x^{3}y^{2}%
z^{3}\right) $. Montrer que f  dérive d'un potentiel puis trouver f  tel que $\varphi=\overrightarrow{grad}f$.

Exercice 6   Etudier la continuité et la différentiabilité de $f(x,y)=\left\{
\begin{array}[c]{l}%
\displaystyle\frac{x^{2}y^{2}}{x^{2}+y^{2}}\text{ si }(x,y)\neq(0,0)\\
0\text{ sinon}%
\end{array}\right. $.

Exercice 7   Soit $f(x,y)=\left\{
\begin{array}[c]{l}%
\displaystyle\frac{xy}{x^{2}+y^{2}}\text{ si }(x,y)\neq(0,0)\\
0\text{ sinon}%
\end{array}\right. .$ 
  1. Etudier la continuité de f  en (0, 0). 
  2. Etudier l'existence et la continuité des dérivées partielles.

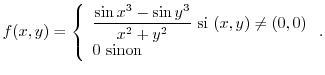
Exercice 8   Soit $f(x,y)=\left\{
\begin{array}[c]{l}%
\displaystyle\frac{\sin x^{3}-\sin y^{3}}{x^{2}+y^{2}}\text{ si }%
(x,y)\neq(0,0)\\
0\text{ sinon}%
\end{array}\right. .$ 
  1. Etudier la continuité de f  en (0, 0). 
  2. Etudier l'existence et la continuité des dérivées partielles.

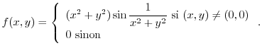
Exercice 9   Soit $f(x,y)=\left\{
\begin{array}[c]{l}%
\displaystyle(x^{2}+y^{2})\sin\frac{1}{x^{2}+y^{2}}\text{ si }(x,y)\neq(0,0)\\
0\text{ sinon}%
\end{array}\right. .$ 
  1. Etudier la continuité de f  en (0, 0). 
  2. Etudier l'existence et la continuité des dérivées partielles.

Exercice 10   Etudier la différentiabilité de $f(x,y)=\left\{
\begin{array}[c]{l}%
\displaystyle\frac{x^{3}-y^{2}}{x^{2}+y^{2}}\text{ si }(x,y)\neq(0,0)\\
0\text{ sinon}%
\end{array}\right. .$ 

Retour à la liste des fiches